A news release from the NEI/NIH describes how researchers have shown that the combination of retinal lasers used with Lucentis are more effective in improving vision in the treatment of diabetic retinopathy that either lasers or drugs alone. The study’s one-year results were published today in Ophthalmology.
Comparative-Effectiveness Study Confirms New Treatment for Diabetic Macular Edema Ranibizumab Injections Plus Laser Therapy Results in Dramatic Visual Improvement
Researchers have shown that ranibizumab (Lucentis) eye injections, often in combination with laser treatment, result in better vision than laser treatment alone for diabetes-associated swelling of the retina.
Laser treatment alone has been the standard care for the past 25 years. But nearly 50 percent of patients who received this new treatment experienced substantial visual improvement after one year, compared with 28 percent who received the standard laser treatment. The study involved 52 clinical sites within the Diabetic Retinopathy Clinical Research Network (DRCR.net), supported by the National Eye Institute (NEI) and the National Institute of Diabetes and Digestive and Kidney Diseases, part of the National Institutes of Health.
“These results indicate a treatment breakthrough for saving the vision of people with diabetic macular edema,” said Neil M. Bressler, M.D., chair of the DRCR.net and chief of the Retina Division at the Wilmer Eye Institute, Johns Hopkins University, Md. “Eye injections of ranibizumab with prompt or deferred laser treatment should now be considered for patients with characteristics similar to those in this clinical trial.”
Diabetic retinopathy is the most common cause of vision loss in working-age Americans. This condition damages the small blood vessels in the eye’s light-sensitive retinal tissue. When these damaged blood vessels begin to leak fluid near the center of the retina, known as the macula, macular edema occurs. The macula provides detailed central vision used for activities such as reading, driving, and distinguishing faces. In macular edema the retinal tissue swells, which can lead to vision loss if left untreated.
Laser treatment of the retina has been the standard care for diabetic macular edema since an NEI-supported study in 1985 showed it to be beneficial. However, recent small short-term studies have revealed the visual benefits of eye injections of medications that block a chemical signal that stimulates blood vessel growth, known as vascular endothelial growth factor (VEGF). These studies have indicated that repeated doses of anti-VEGF medications, such as ranibizumab, may prevent blood vessels from leaking fluid and causing macular edema. The DRCR.net study, published online April 27 in Ophthalmology, confirms preliminary results and provides evidence of the treatment’s effectiveness in combination with laser therapy through at least one year of follow up.
“This comparative-effectiveness study demonstrated that a new treatment can protect and, in many cases, improve the vision of people with diabetic macular edema,” said NEI Director Paul A. Sieving, M.D., Ph.D.
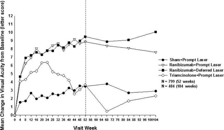
The current study included a total of 854 eyes of 691 people, who had one or both eyes treated. Participants, who were on average in their early 60s, were diagnosed with type 1 or 2 diabetes and macular edema. They were randomly assigned to one of four study groups: sham injections plus prompt laser treatment within one week; ranibizumab injections plus prompt laser treatment; ranibizumab plus deferred laser treatment after six months or more; or injections of corticosteroid medication known as triamcinolone (Trivaris) plus prompt laser treatment.
Ranibizumab injections could be given as often as every four weeks, and triamcinolone injections or laser treatments could be given as often as every 16 weeks. In general, treatment was continued until a participant’s vision or retinal thickness returned to normal, or additional treatment did not improve vision or retinal swelling.
After one year, nearly 50 percent of eyes treated with ranibizumab and prompt or deferred laser treatment showed a substantial visual improvement. People could read at least two additional lines on an eye chart with the treated eye, or letters that were at least one-third smaller than they could read before the study treatment. Fewer than 5 percent of eyes in these groups experienced a visual loss of two or more lines. The results were similar whether patients received prompt or deferred laser treatment with the ranibizumab injections.
In contrast, about 30 percent of eyes that received laser treatment alone or triamcinolone plus laser showed a visual improvement of two or more lines on an eye chart, while 13 to 14 percent of eyes in these groups had a visual loss of two or more lines.
Although participants in all three injection groups had a greater decrease in retinal thickness after one year than with laser treatment alone, patients who received triamcinolone injections had greater complication rates. About 30 percent of people in the triamcinolone group developed high eye pressure that required medications, and about 60 percent developed cataracts that required surgery.
Few participants who received eye injections of ranibizumab had eye-related complications, such as an infection inside the eye likely caused by the injections, or worsening of a retinal detachment that existed prior to beginning treatment. The study found that eye injections of ranibizumab were not associated with any serious risks such as heart attack or stroke. DRCR.net researchers will continue to monitor the study participants for at least three years to obtain additional information about the safety and effectiveness of these macular edema treatments.
Find more information about this clinical trial (NCT00444600) at www.clinicaltrials.gov.
For the complete study as published in Ophthalmology, use this link.
For the complete study as published in Ophthalmology, use this link.
